Skip to main content

Demos: 1D-05 Twirling Wine Glass


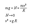
As the wine glass is twirled rapidly in a vertical plane, the glass stays firmly on the plate and the wine does not spill out, if the following condition is met: the normal force must be greater than or equal to zero.


So the tangential speed of the glass must be at least this great to prevent separation. If the system is whirled in a nearly horizontal circle (it’s not possible to make it perfectly horizontal because the weight has to be balanced in the vertical direction), then the condition on v is


(see the Rotor Carnival Ride on CD).

Directions:Place the wine glass carefully on the plastic plate and place your hand through the loop of the rope. Give the plate a couple of gentle swings back and forth and then swing it vigorously in a circle. Make sure nothing is close by to hit! The faster you swing it, the greater the normal force, so the glass actually presses against the plate more firmly. To stop the motion: as the plate comes down to the bottom position, move your hand forward in the direction the plate is moving. That will bring it to a gentle stop. To swing it horizontally, start the same way and then move it to a horizontal position. (You need a lot of free room here!)

Suggestions for Presentation: You might start with a ball on a string and ask what the conditions are for the string to go slack. Demonstrate this, letting the string go slack. Don’t, however, demonstrate the wine glass falling off, unless you’re a masochist! The more dramatic you are in this demo, the better it’s received!

Applications:Roller coaster loops, speed “humps,” and the Rotor Ride at the carnival.

Add to Cart | View Cart

Last Updated: Nov 30, 2023 11:25 AM

Department of Physics and Astronomy, 525 Northwestern Avenue, West Lafayette, IN 47907-2036 • Phone: (765) 494-3000 • Fax: (765) 494-0706

Copyright © 2024 Purdue University | An equal access/equal opportunity university | Copyright Complaints | DOE Degree Scorecards

Trouble with this page? Accessibility issues? Please contact the College of Science.