Skip to main content

Demos: 1D-23 Shoot the Monkey


A toy monkey having a metal plate attached to his head, is suspended from an electromagnet attached to the ceiling. A projectile is fired from a tube and the monkey is released just as the projectile leaves the end of the tube. If the tube is aimed directly at the monkey initially, the two will collide in mid-air.

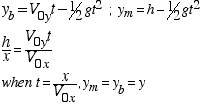
Referring to the diagram above:



Directions: Push the steel ball down into the tube with the push rod. Using the point of a pen, pull the small switch lever up into the slot at the end of the tube, activating the electromagnet circuit. Place the monkey’s collar ring on the hook at the end of the wooden pole and SLOWLY move the head plate against the electromagnet. This may take a few tries. If you have difficulty, ask for assistance from the lec-demo staff. Using the laser pen attached to the tube, aim the tube directly at the target on the monkey’s breast plate. Depress the switch on the air-supply line to fire the projectile.

Suggestions for Presentation: You might make up some story about a monkey and a hunter and ask who is the smarter. Try to engage the students in the reasoning.

Applications: None that are obvious.

Add to Cart | View Cart

Last Updated: Nov 30, 2023 11:25 AM

Department of Physics and Astronomy, 525 Northwestern Avenue, West Lafayette, IN 47907-2036 • Phone: (765) 494-3000 • Fax: (765) 494-0706

Copyright © 2024 Purdue University | An equal access/equal opportunity university | Copyright Complaints | DOE Degree Scorecards

Trouble with this page? Accessibility issues? Please contact the College of Science.