Skip to main content

Demos: 1J-11 Vector Forces Board


Strings with weights are attached to a ring in the center of the vertical board. The ring is apparently held in place by a nail. The nail is removed and the ring stays put, because the tensions and angles of the three strings are selected to produce equilibrium.

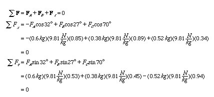
Referencing everything to the horizontal (x-axis), we have:


Directions: The weights will all be set up in advance. You should simply check the apparatus prior to the lecture to be sure that all weights and angles are as stated.

Suggestions for Presentation: You might work out the equations above that shows the sum of the forces to be zero. Pull the nail and show that they are. Then pull on one of the weights to make the ring move away from the center. When you let go, the ring will return to the center. (Please remember that there is some friction in the system. The ring may not return to exactly the same spot. This could be a point of discussion.)

Note: Students often have less trouble if all angles are specified relative to the nearest x-axis. Then the signs can be attached based on the quadrant the angle is in.

Applications: None for this apparatus.

Add to Cart | View Cart

Last Updated: Nov 30, 2023 11:25 AM

Department of Physics and Astronomy, 525 Northwestern Avenue, West Lafayette, IN 47907-2036 • Phone: (765) 494-3000 • Fax: (765) 494-0706

Copyright © 2024 Purdue University | An equal access/equal opportunity university | Copyright Complaints | DOE Degree Scorecards

Trouble with this page? Accessibility issues? Please contact the College of Science.